What Was The Potential Difference That Stopped The Proton?
What Was The Potential Difference That Stopped The Proton?. A proton with an initial speed of 700,000 m/s is brought to rest by an electric field. Did the proton move into a region of higher potential or lower potential?

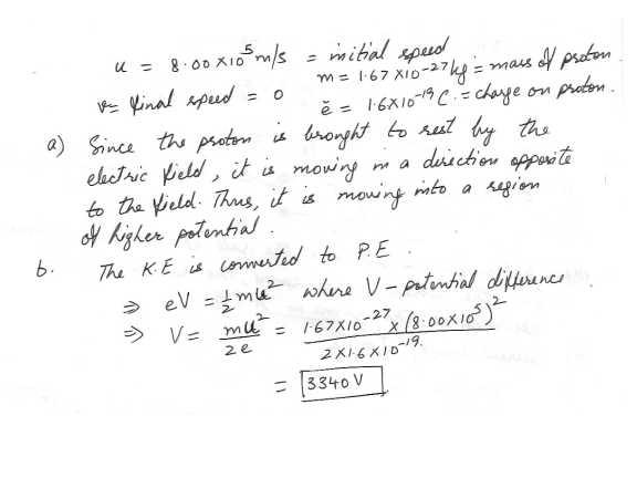
100% (1 rating) transcribed image text: What was the potential difference that stopped the proton? What was the potential difference that stopped the proton?
This Problem Has Been Solved!
V f = 0 as the proton has a positive charge and. What was the initial kinetic energy of the. Δ v = 4228 v.
What Was The Potential Difference That Stopped The Proton?
For part (a) proton moves into a region of higher potential because it must goes in opposite direction of force to get rest. Did the proton move into a region of higher potential or lower potential? A proton with an initial speed of 700,000 m/s is brought to rest by an electric field.
A) A Proton With An Initial Speed Of 554,000 M/S Is Brought To Rest By An Electric Field.
( ∵ p e i = 0) = 677 − 41 × 10 − 18 t o n ≤ 1.6 × 10 − 19 c. A proton with an initial speed of 900,000 m/s is brought to rest by an electric field. What was the potential difference that stopped the proton?
Initial Speed = 400000 M/S.
V = q u the speed of the proton at the end is: What was the potential difference that stopped. Potential difference to stop the proton given by.
Express Your Answer To Two Significant Figures.
Thus potential difference is, thus, the. What was the potential difference that stopped the proton? 100% (1 rating) transcribed image text:
Post a Comment for "What Was The Potential Difference That Stopped The Proton?"